[ML] ์ ํ ํ๊ท(Linear Regression)
๋ง์ฝ ์ฒ ์๊ฐ ๊ณต๋ถํ ์๊ฐ ๋๋น ์ ์๋ฅผ ๊ฐ์ง๊ณ ํ์ต์ ์ํจ๋ค๊ณ ๊ฐ์ ํ๊ฒ ๋ค.
training ๋ฐ์ดํฐ๋ ๋ค์๊ณผ ๊ฐ๋ค.
10์๊ฐ ๊ณต๋ถํ๋ฉด 90์ ์ด ๋์ค๊ณ , 9์๊ฐ ๊ณต๋ถํ๋ฉด 80์ ์ด ๋์ค๊ณ ...
์ด๋ฌํ ๋ ์ด์ ๊ฐ๋ค์ ๊ด๊ณ๋ฅผ ๋ฐํ์ผ๋ก ๊ฒฐ๊ณผ๋ฅผ ์ด๋์ด๋ด๋ ํต๊ณ์ ๋ฐฉ๋ฒ์ ํ๊ท(Regression) ๋ถ์์ด๋ผ๊ณ ๋ถ๋ฅธ๋ค. ์ด๊ฑด ML ์ ์ฉ ์ฉ์ด๊ฐ ์๋๋ผ ํต๊ณํ์์ ์ฌ์ฉ๋๋ ๊ฐ๋ ์ด๋ค.
์๋ฌดํผ ์ ๋ฐ ๋ฐ์ดํฐ๋ก ๋ถ์์ ํ๋ค๋ฉด, ์กด์ฌํ์ง ์๋ x ๊ฐ์ ๋ํด์๋ ์ด๋์ ๋ ์ ์ถ๊ฐ ๊ฐ๋ฅํ๋ค.
6์๊ฐ์ ํฌ์ํ์ ๋(x=6) ์ ์๊ฐ ์ผ๋ง๋ ๋์ฌ์ง ๋ฌผ์ด๋ณธ๋ค๋ฉด ๊ทธ ๊ฐ์ ๋น์จ์ ๊ณ์ฐํด์ 65-70 ์ ๋ ๋์ฌ ๊ฒ์ด๋ผ๊ณ ๋งํ ๊ฒ์ด๋ค.
์ด ๋ฐฉ๋ฒ์ ์ ํ์ ์ผ๋ก ์์ธก์ ํ๋ค๋ ์ ์์ ์ ํ ํ๊ท(Linear Regression)๋ผ๊ณ ๋ถ๋ฅธ๋ค.
๋ ๊ทธ๋ ๊ธฐ ๋๋ฌธ์ ์ขํ๋ก ๋ํ๋ด๋๋ผ๋ ์ ํ์ ์ธ ๊ทธ๋ํ๋ก ํํ์ด ๊ฐ๋ฅํ๋ค.

๋งค์ฐ ๋จ์ํ์ง๋ง, ๋์์ ๊ฐ๋ ฅํ ์ ๊ทผ๋ฒ์ด๋ค.
๊ฐ์ค (Hypothesis)
ํ๊ท ๋ถ์๋ฒ์ ์ ์ถ์ ์ํ ๋ถ์๋ฒ์ด๊ธฐ ๋๋ฌธ์, ๊ฒฐ๊ณผ๋ฅผ ๊ฐ์ค์ ์์กดํ๋ค.
์ ๊ทผ๋ฒ์ ๋ฐ๋ผ ๊ฐ์ค์ ์ฌ๋ฌ๊ฐ์ง๊ฐ ์์ ์ ์๋ค.
์๋๋ 3๊ฐ์ ๊ฐ์ค์ ๊ทธ๋ํ๋ก ๋ํ๋ธ ๊ฒ์ด๋ค.
๋น์ฐํ ๊ทธ๋ฅ ๋ดค์๋๋ ํ๋์์ ๊ฐ์ค์ด ๊ฐ์ฅ ์ ํฉํด๋ณด์ผ ๊ฒ์ด๋ค. ์ค์ ๋ฐ์ดํฐ์ ์ผ์น๋๊ฐ ๊ฐ์ฅ ๋๊ธฐ ๋๋ฌธ์ด๋ค.
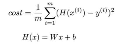
์ด๋ ๊ฒ ์ค์ ๋ฐ์ดํฐ์ ์ผ์น๋๊ฐ ๊ฐ์ฅ ๋์ ๊ฐ์ค์ ๊ฐ๋ ค๋ด๋ ๊ฒ์ Cost function์ด๋ผ๊ณ ๋ถ๋ฅธ๋ค.
Cost Function (or Lost function)
Cost Function์ ๊ธฐ๋ณธ์ ์ธ ์๋ฆฌ๋ ๊ทธ๋ฆฌ ์ด๋ ต์ง ์๋ค.
๊ฐ์ค๊ณผ ์ค์ ๋ฐ์ดํฐ์ ๊ฐ๊ฒฉ์ ๊ณ์ฐํ๊ณ cost๋ฅผ ํฉ์ฐํด์, ๊ฑฐ๋ฆฌ๊ฐ ๋ฉ์๋ก ํจ๋ํฐ๋ฅผ ๋จน์ด๋ ๊ฒ์ด๋ค.
๋น์ฐํ cost๊ฐ ๋ฎ์ ์๋ก ์ข์ ๊ฐ์ค์ด๊ณ , cost๊ฐ ๊ฐ์ฅ ๋ฎ์ ๊ฐ์ค์ ์ฐพ๋๊ฒ ์ฃผ์ ๋ชฉํ๊ฐ ๋๋ค.
์์ผ๋ก ๋ํ๋ด๋ฉด ์ด๋ ๋ค.
์ฐ๊ตฌ์๊ฐ ์๋๋ผ๋ฉด ๋น์ฅ ๋ค ์ดํดํ ํ์๋ ์๋ค.
๊ตฌํํ๋ฉด์ ๋ณด์
์ฐธ์กฐ
https://hunkim.github.io/ml/